국민연금 수령 시점, 왜 중요할까요?
노후 준비의 핵심은 국민연금을 언제부터 받을지 결정하는 것입니다. 현재 국민연금 지급 개시 연령은 출생연도별로 만 61세부터 65세까지 차등 적용됩니다. 하지만 정해진 나이에 바로 받지 않고 수령 시점을 늦추면 연금액을 더 늘릴 수 있는 '연기연금' 제도가 있습니다. 이는 최대 5년까지 연금 지급을 미루는 대신, 매년 약 7.2%씩 연금액을 더 받는 방식입니다.

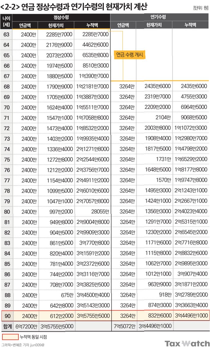
연기연금, 얼마나 더 받을 수 있나요?
연기연금 제도를 활용하면 연금액을 상당 부분 증액할 수 있습니다. 1년 연기 시 7.2%, 2년 연기 시 14.4%, 그리고 최대 5년까지 연기하면 무려 36%의 연금액 증가 효과를 기대할 수 있습니다. 예를 들어 월 100만 원을 받을 수 있는 사람이 5년을 연기하면, 이후 매달 136만 원을 수령하게 됩니다. 장기간 건강하게 생존할 경우 전체 수령액은 크게 늘어날 수 있습니다.

연기연금, 이런 분들께 추천합니다
전문가들은 앞으로 몇 년간 안정적인 소득이 있거나 계속 일할 계획이 있는 경우, 또는 금융·부동산 자산 등으로 생활이 가능한 경우라면 연기연금을 적극적으로 검토해볼 만하다고 조언합니다. 연금 수령 시점을 늦춰 더 많은 금액을 받는 전략은 이러한 상황에서 매우 유리할 수 있습니다. 또한, 연금액의 일부만 연기하는 것도 가능하여 유연하게 활용할 수 있습니다.

주의해야 할 점은 무엇인가요?
연기연금은 장점만 있는 것은 아닙니다. 연금 수령을 늦추면 실제로 연금을 받는 기간이 줄어들기 때문에, 건강 상태가 좋지 않거나 당장 현금 흐름이 필요한 경우에는 오히려 손해가 될 수 있습니다. 또한, 연금 수급 시점의 소득이 일정 기준(현재 A값 월 309만원, 6월부터 509만원 상향 예정)을 초과하면 최대 5년간 연금이 감액될 수 있으며, 늘어난 연금액으로 인해 건강보험 피부양자 자격을 잃고 지역가입자로 전환될 경우 더 많은 보험료를 부담해야 할 수도 있습니다.

현명한 연금 수령, 선택은 당신의 몫!
국민연금 연기연금 제도는 기대수명, 건강 상태, 현재 소득, 건강보험료 부담 등 다양한 요소를 종합적으로 고려하여 신중하게 결정해야 합니다. 연금액 증가 효과만 볼 것이 아니라, 전체 가계 흐름을 면밀히 따져본 후 자신에게 가장 유리한 수령 전략을 선택하는 것이 중요합니다.

국민연금 수령, 이것이 궁금해요!
Q.연기연금은 무조건 5년까지 연기해야 하나요?
A.아닙니다. 연기연금은 최대 5년까지 연기할 수 있으며, 1년 단위로 선택 가능합니다. 또한, 연금액의 50%에서 100% 사이 일부만 연기하는 것도 가능합니다.
Q.연기연금 신청 후 바로 연금액이 늘어나나요?
A.연기연금은 연금 지급 개시 연령 도달 후 신청하며, 연기한 기간만큼 연금액이 가산되어 지급됩니다. 즉, 연기 신청 후 실제 연금을 받기 시작할 때 늘어난 금액을 수령하게 됩니다.
Q.소득 상한선 초과 시 연금 감액은 어떻게 되나요?
A.연금 수급 시점의 월평균 소득이 최근 3년간 전체 가입자 평균소득월액(A값)을 초과하면, 최대 5년간 연금이 감액될 수 있습니다. A값은 주기적으로 조정됩니다.

'이슈' 카테고리의 다른 글
| 트럼프, '개인 숭배' 논란 속 독재자 발언까지...권력 남용 우려 증폭 (0) | 2026.02.16 |
|---|---|
| 제니의 벨트 사랑, 패션 트렌드를 바꾸다: 허리 라인 강조의 모든 것 (1) | 2026.02.16 |
| 훔친 옷 중고거래 앱에 올리자…피해 업주와 경찰이 덮쳤다! (0) | 2026.02.16 |
| 설날 세뱃돈 ATM 찾기 힘들어졌다고? 5년간 7천 대 사라진 사연 (0) | 2026.02.16 |
| 이부진 대표와 나눈 카톡 공개한 학부모, '언니 팬' 되다 (1) | 2026.02.16 |